Míry variability: Porovnání verzí

(Revert na poslední verzi neobsahující odkazy na wikisofia.cz)
Řádek 1: Řádek 1:
Pokud chceme charakterizovat náhodně proměnlivé údaje v určitém souboru, nestačí charakterizovat jen [[Střední hodnota|střední hodnotu]], ale je vhodné určit i míru, v jaké jsou jednotlivé údaje od sebe navzájem rozptýlené. To vymezují '''míry variability''', mezi které se řadí variační rozpětí, rozptyl, směrodatná odchylka a variační koeficient. <ref name="Hendl">Hendl, J. (2006). ''Přehled statistických metod zpracování dat''. Praha: Portál.</ref>
+
Pokud chceme charakterizovat náhodně proměnlivé údaje v určitém souboru, nestačí charakterizovat jen střední hodnotu, ale je vhodné určit i míru, v jaké jsou jednotlivé údaje od sebe navzájem rozptýlené. To vymezují míry variability, mezi které se řadí variační rozpětí, rozptyl, směrodatná odchylka a variační koeficient. <ref name="Hendl">Hendl, J. (2006). ''Přehled statistických metod zpracování dat''. Praha: Portál.</ref>
 
== Variační rozpětí (Range) ==
 
== Variační rozpětí (Range) ==
* Variační rozpětí je definováno jako '''rozdíl mezi nejnižší a nejvyšší hodnotou daného souboru''' a podává informace o tom, v jaké šířce jsou dané údaje rozprostřené na příslušné škále. Označení pro variační rozpětí je R.  
+
* Variační rozpětí je definováno jako rozdíl mezi nejnižší a nejvyšší hodnotou daného souboru a podává informace o tom, v jaké šířce jsou dané údaje rozprostřené na příslušné škále. Označení pro variační rozpětí je R.  
<big><math>R=X_max-X_min</math>*</big><br />
+
'''R = Xmax - Xmin'''*<br />
 
<sup>''*U diskrétních proměnných někteří autoři preferují pro výpočet R = (Xmax - Xmin) + 1.''</sup><br />
 
<sup>''*U diskrétních proměnných někteří autoři preferují pro výpočet R = (Xmax - Xmin) + 1.''</sup><br />
 
Nevýhodou variačního rozpětí je velká citlivost vůči extrémním hodnotám a také nereflektování způsobu, jakým jsou údaje rozložené uvnitř souboru<ref name="Ferjencik">Ferjenčík, J. (2006). ''Základy štatistických metód v sociálnych vedách''. Košice: Univerzita Pavla Jozefa Šafárika.</ref>.<br /><br />
 
Nevýhodou variačního rozpětí je velká citlivost vůči extrémním hodnotám a také nereflektování způsobu, jakým jsou údaje rozložené uvnitř souboru<ref name="Ferjencik">Ferjenčík, J. (2006). ''Základy štatistických metód v sociálnych vedách''. Košice: Univerzita Pavla Jozefa Šafárika.</ref>.<br /><br />
 
Modelový příklad: {1,2,3,4,5}<br />
 
Modelový příklad: {1,2,3,4,5}<br />
<big><math>R=5–1</math><br />
+
R = 5 – 1<br />
<math>R=4</math></big>
+
R = 4
 
== Rozptyl ==
 
== Rozptyl ==
Rozptyl je definován jako '''průměrná kvadratická odchylka mezi údaji souboru a jejich aritmetickým průměrem'''<ref name="Ferjencik" />.<br /><br />
+
Rozptyl je definován jako průměrná kvadratická odchylka mezi údaji souboru a jejich aritmetickým průměrem<ref name="Ferjencik" />.<br />
<big><math>s^2=\frac{\sum\left(x_i-\bar{x}\right)^2} {n-1}</math></big><br />
+
<math>s^2=\frac{\sum\left(x_i-\right)^2} {n-1}</math><br />
<small>([http://wikisofia.cz/images/8/82/Vzorec_rozptyl.jpg obrázek rovnice])</small><br /><br />
+
([[Soubor:Vzorec_rozptyl.jpg|obrázek rovnice]])<br />
 
Podle Hendla<ref name="Hendl" /> není při větších rozsazích významný rozdíl mezi číslem ''n'' nebo ''n – 1''. Dělení číslem ''n'' se používá v případě, kdy počítáme rozptyl pro všechny prvky populace.<br />
 
Podle Hendla<ref name="Hendl" /> není při větších rozsazích významný rozdíl mezi číslem ''n'' nebo ''n – 1''. Dělení číslem ''n'' se používá v případě, kdy počítáme rozptyl pro všechny prvky populace.<br />
 
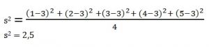
Modelový příklad: {1,2,3,4,5}<br /><br />
 
Modelový příklad: {1,2,3,4,5}<br /><br />
 
+
[[Soubor:Modelovy priklad rozptyl.jpg|bezrámu|Modelový příklad]]<br />
<big><math>s^2=\frac{\left(1-3\right)^2\left(2-3\right)^2\left(3-3\right)^2\left(4-3\right)^2\left(5-3\right)^2} {4}</math><br />
 
<math>s^2=2,5</math></big><br />
 
<small>([http://wikisofia.cz/images/0/04/Modelovy_priklad_rozptyl.jpg obrázek rovnice])</small><br /><br />
 
 
 
 
Interpretace rozptylu může být někdy nesrozumitelná, a proto se v praxi jako nejčastější ukazovatel míry variability používá druhá odmocnina z rozptylu označovaná jako směrodatná odchylka<ref name="Ferjencik" />.
 
Interpretace rozptylu může být někdy nesrozumitelná, a proto se v praxi jako nejčastější ukazovatel míry variability používá druhá odmocnina z rozptylu označovaná jako směrodatná odchylka<ref name="Ferjencik" />.
 
 
== Směrodatná odchylka  ==
 
== Směrodatná odchylka  ==
 
Směrodatná odchylka je '''průměrná vzdálenost mezi jednotlivými údaji a jejich aritmetickým průměrem'''. Informuje nás o tom, jak daleko jsou v průměru jednotlivé údaje rozprostřené kolem svého aritmetického průměru<ref name="Ferjencik" />. Vypočítá se jako odmocnina z rozptylu a na rozdíl od rozptylu má stejný fyzikální rozměr jako původní veličina<ref name="Zvara">Zvára, K. (2004). ''Biostatistika''. Praha: Nakladatelství Karolinum.</ref>.<br />
 
Směrodatná odchylka je '''průměrná vzdálenost mezi jednotlivými údaji a jejich aritmetickým průměrem'''. Informuje nás o tom, jak daleko jsou v průměru jednotlivé údaje rozprostřené kolem svého aritmetického průměru<ref name="Ferjencik" />. Vypočítá se jako odmocnina z rozptylu a na rozdíl od rozptylu má stejný fyzikální rozměr jako původní veličina<ref name="Zvara">Zvára, K. (2004). ''Biostatistika''. Praha: Nakladatelství Karolinum.</ref>.<br />
 
+
[[Soubor:Vzorec smer.odchylka.jpg|bezrámu|Směrodatná odchylka]]
<big><math>s=\sqrt s^2=\sqrt\frac{\sum\left(x_i-\bar{x}\right)^2} {n-1}</math></big><br />
 
<small>([http://wikisofia.cz/images/f/fa/Vzorec_smer.odchylka.jpg obrázek rovnice])</small><br /><br />
 
 
 
 
Modelový příklad: {1,2,3,4,5}<br /><br />
 
Modelový příklad: {1,2,3,4,5}<br /><br />
<big><math>s^2=\sqrt2,5</math><br />
+
[[Soubor:Modelovy priklad smer.odchylka.jpg|bezrámu|Modelový příklad SO]]
<math>s^2=1,58</math></big><br />
 
<small>([http://wikisofia.cz/images/f/fb/Modelovy_priklad_smer.odchylka.jpg obrázek rovnice])</small><br /><br />
 
 
 
 
== Variační koeficient  ==
 
== Variační koeficient  ==
Variační koeficient se používá v případě, kdy chceme posoudit '''relativní velikost rozptýlenosti dat vzhledem k průměru''' a někdy se uvádí v procentech<ref name="Hendl" />. Slouží k porovnání variability souborů, které mají nestejné průměry<ref name="Zvara" />.<br />
+
Variační koeficient se používá v případě, kdy chceme posoudit relativní velikost rozptýlenosti dat vzhledem k průměru a někdy se uvádí v procentech<ref name="Hendl" />. Slouží k porovnání variability souborů, které mají nestejné průměry<ref name="Zvara" />.<br />
 
+
[[Soubor:Vzorec variacni koeficient.jpg|bezrámu|Variační koeficient]]
<big><math>VK=\frac{S} {\bar{x}}</math></big><br />
 
<small>([http://wikisofia.cz/images/a/af/Vzorec_variacni_koeficient.jpg obrázek rovnice])</small><br /><br />
 
 
Modelový příklad: {1,2,3,4,5}<br /><br />
 
Modelový příklad: {1,2,3,4,5}<br /><br />
<big><math>VK=\frac{1,58} {3}</math><br />
+
[[Soubor:Modelovy priklad variacni koeficient.jpg|bezrámu|Modelový příklad VK]]
<math>VK=0,53</math>(53%)</big><br />
+
== Zdroje ==
<small>([http://wikisofia.cz/images/f/fb/Modelovy_priklad_smer.odchylka.jpg obrázek rovnice])</small><br /><br />
 
 
 
== Reference ==
 
 
<references/>
 
<references/>
  
 
[[Kategorie: Statistika|*]]
 
[[Kategorie: Statistika|*]]

Verze z 13. 4. 2016, 16:45

Pokud chceme charakterizovat náhodně proměnlivé údaje v určitém souboru, nestačí charakterizovat jen střední hodnotu, ale je vhodné určit i míru, v jaké jsou jednotlivé údaje od sebe navzájem rozptýlené. To vymezují míry variability, mezi které se řadí variační rozpětí, rozptyl, směrodatná odchylka a variační koeficient. [1]

Variační rozpětí (Range)

  • Variační rozpětí je definováno jako rozdíl mezi nejnižší a nejvyšší hodnotou daného souboru a podává informace o tom, v jaké šířce jsou dané údaje rozprostřené na příslušné škále. Označení pro variační rozpětí je R.

R = Xmax - Xmin*
*U diskrétních proměnných někteří autoři preferují pro výpočet R = (Xmax - Xmin) + 1.
Nevýhodou variačního rozpětí je velká citlivost vůči extrémním hodnotám a také nereflektování způsobu, jakým jsou údaje rozložené uvnitř souboru[2].

Modelový příklad: {1,2,3,4,5}
R = 5 – 1
R = 4

Rozptyl

Rozptyl je definován jako průměrná kvadratická odchylka mezi údaji souboru a jejich aritmetickým průměrem[2].
Nelze pochopit (syntaktická chyba): {\displaystyle s^2=\frac{\sum\left(x_i-x̄ \right)^2} {n-1}}
(obrázek rovnice)
Podle Hendla[1] není při větších rozsazích významný rozdíl mezi číslem n nebo n – 1. Dělení číslem n se používá v případě, kdy počítáme rozptyl pro všechny prvky populace.
Modelový příklad: {1,2,3,4,5}

Modelový příklad
Interpretace rozptylu může být někdy nesrozumitelná, a proto se v praxi jako nejčastější ukazovatel míry variability používá druhá odmocnina z rozptylu označovaná jako směrodatná odchylka[2].

Směrodatná odchylka

Směrodatná odchylka je průměrná vzdálenost mezi jednotlivými údaji a jejich aritmetickým průměrem. Informuje nás o tom, jak daleko jsou v průměru jednotlivé údaje rozprostřené kolem svého aritmetického průměru[2]. Vypočítá se jako odmocnina z rozptylu a na rozdíl od rozptylu má stejný fyzikální rozměr jako původní veličina[3].
Směrodatná odchylka Modelový příklad: {1,2,3,4,5}

Modelový příklad SO

Variační koeficient

Variační koeficient se používá v případě, kdy chceme posoudit relativní velikost rozptýlenosti dat vzhledem k průměru a někdy se uvádí v procentech[1]. Slouží k porovnání variability souborů, které mají nestejné průměry[3].
Variační koeficient Modelový příklad: {1,2,3,4,5}

Modelový příklad VK

Zdroje

  1. 1,0 1,1 1,2 Hendl, J. (2006). Přehled statistických metod zpracování dat. Praha: Portál.
  2. 2,0 2,1 2,2 2,3 Ferjenčík, J. (2006). Základy štatistických metód v sociálnych vedách. Košice: Univerzita Pavla Jozefa Šafárika.
  3. 3,0 3,1 Zvára, K. (2004). Biostatistika. Praha: Nakladatelství Karolinum.