PageRank
PageRank je číslo, které Google přiřazuje každé stránce (ke každému URL). Toto číslo vyjadřuje jak Google hodnotí každou stránku, kterou zná. Je to základ tohoto vyhledávače. Vyjadřuje tak věrohodnost či důležitost stránky. Můžeme se setkat i s termínem Page Rank nebo jeho zkratkou PR.
PageRank nabývá hodnot od nuly do deseti. Čím vyšší číslo stránka má, tím ji Google považuje za kvalitnější. Soudí se, že význam PageRanku při řazení je malý. Google PageRank stránkám počítá podle toho, kolik odkazů na stránku míří (a z jak kvalitních stránek). Kromě vložení ikony do stránky můžeme pagerank stránek sledovat pomocí rozšíření do prohlížeče Google toolbar. Pokud chceme svým stránkám zvýšit pagerank, musíme se postarat o to, aby na stránku vedlo co nejvíc odkazů ze stránek, které mají vysoký PageRank.[1]
Rank znamená hodnocení. Page je příjmení jednoho ze zakladatelů Google (Larry Page). Lze také přeložit jako hodnocení pana Page. Výklad Page jako anglická stránka (stránkový rank) je špatně vysvětleno.[2]
Obsah
Co které číslo znamená
- PR 0 Stránka s hodnotou nula je pravděpodobně moc mladá, takže nestihla PageRank nasbírat nebo se to nestihlo projevit. Pokud vezmeme v potaz, že je stránka starší než pár měsíců, znamená to, že je stránka málo významná.
- PR 1 Stránku s PageRankem 1 vyhledávač Google nějakou dobu zná, ale nepovažuje ji za moc významnou. Tento PageRank s hodnotou 1 mají například různé archivní stránky, výpisy zboží nebo detaily nevýznamných příspěvků v blogu.
- PR 2 PageRanku 2 obvykle dosahují běžné příspěvky v průměrném blogu nebo hlavní stránky špatných firemních webů.
- PR 3 Stránka s trojkou znamená jako v běžném životě průměr nebo mírný podprůměr. Má-li hlavní stránka webu PageRank 3, stále je co zlepšovat. Trojku mívají průměrné blogy, kategorie výrobků v e-shopech, horší firemní stránky a průměrné články na zpravodajských serverech.
- PR 4 PageRank 4 pro nás znamená první známku úspěchu. I některé kvalitní weby mohou mít na hlavní stránce tento pagerank. Častěji mají čtyřku kvalitní články na zajímavé téma, velmi důležité diskusní příspěvky či průměrné články na významných serverech.
- PR 5 Téměř každý, kdo se aspoň trochu snaží, dosáhne časem na své hlavní stránce PageRanku 5. Nejméně to trvá rok, ale jsou samozřejmě případy, kdy to trvá i déle. Tuto hodnotu mají v českých podmínkách velmi kvalitní články a hlavní stránky průměrných e-shopů.
- PR 6 V české prostředí mít web s PageRankem 6 vyžaduje veliké odhodlání, úsilí a chce to také jedinečný nápad. Jsme malá země a tak se málokomu podaří mít takových stránek více a více. Hodnotu 6 mají velmi kvalitně psané blogy, průlomové články a významné e-shopy.
- PR 7 PageRank 7 mají například v českém prostředí internetový portál Centrum.cz nebo zpravodajský portál Idnes.cz.
- PR 8 Z českých stránek mají pouze internetový portál Seznam.cz, statistický server Toplist, protože na něj vede hodně odkazů z počítadel, a stránky některých univerzit.
- PR 9 Stránky s hodnotou 9 si můžeme přeložit jako první ligu. Mezi českými stránkami ji bohužel nemá nikdo. Existují však anglické stránky s PageRankem 9. Tuto hodnotu nabívá například internetový portál yahoo.com, stránka nokia.com nebo hlavní stránka Microsoftu.
- PR 10 Vyhledáváč Google.com vypočítal hodnotu 10 sám sobě a jen několika málo důležitým webům, například w3c.org [3]
Jak zjistit PageRank stránky
Instalací Google Toolbaru lze zjistit jak velký má PageRank námi požadovaná stránka. Je to malý program, který je zdarma dostupný na Googlu. Když si nebudeme něčím jistí, existuje v programu nápověda.
Dále je možnost zjistit hodnotu na tomto webu http://pagerank.yuhu.cz.<ref>PageRank.yuhu. In: [online]. [cit. 2014-12-19]. Dostupné z: http://pagerank.yuhu.cz/</ref>
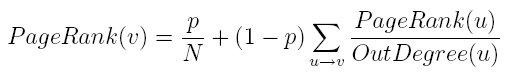
Vzorec PageRanku
Chceme-li spočítat PageRank, můžeme použít následující vzorec:
p znamená pravděpodobnost zobrazení náhodně vybrané webové stránky a 1-p je pravděpodobnost zobrazení libovolné stránky, na kterou odkazuje hypertextový odkaz na této stránce. u → v znamená, že stránka u obsahuje hypertextový odkaz na stránku v a N je počet všech navštívených stránek. Prohledávací mechanismus Google tímto způsobem prochází jednotlivé stránky a zjišťuje jejich PageRank, který používá jako metriku k určení popularity stránky. Po tom, jak vyhledávač najde stránky, které splňují požadavky uživatel, jsou tyto stránky seřazeny tak, že stránky s nejvyšším PageRank se zobrazí jako první. Důležité je, že PageRank není závislý od konkrétního dotazu a tudíž nemusí se počítat při každém dotazu, čímž se předejde zpomalení vyhledávání.[4]
Odkazy
Reference
- ↑ PageRank. In: Wikipedia: the free encyclopedia [online]. San Francisco (CA): Wikimedia Foundation, 2001- [cit. 2014-12-19]. Dostupné z: http://cs.wikipedia.org/wiki/PageRank
- ↑ Google PageRank. In: [online]. [cit. 2014-12-19]. Dostupné z: http://www.jakpsatweb.cz/seo/pagerank.html
- ↑ PageRank.yuhu. In: [online]. [cit. 2014-12-19]. Dostupné z: http://pagerank.yuhu.cz/
- ↑ Dolovanie dát v prostredí hypertextu. In: [online]. [cit. 2014-12-19]. Dostupné z: http://www2.fiit.stuba.sk/~kapustik/ZS/Clanky0506/petrov/index.html
